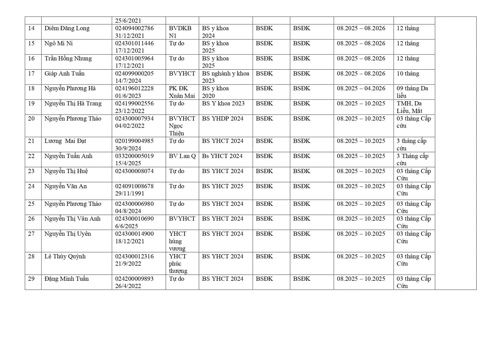
Thứ 5, 10/07/2025 | 15:55 A- A A+ | Báo cáo Danh sách người thực hành khám chữa bệnh 07.2025 Đọc bài Lưu Tổng số điểm của bài viết là: 0 trong 0 đánh giá Click để đánh giá bài viết
Dấu ấn đổi mới sáng tạo trong hành trình nâng tầm chất lượng khám chữa bệnh tại Bệnh viện Đa khoa Bắc Ninh số 1
🍀Bệnh viện Đa khoa Bắc Ninh số 1: Gần 800 nhân viên y tế được quán triệt, phổ biến các quy định của pháp luật về Khám, chữa bệnh tại cơ sở Y tế🍀
Bệnh viện Đa khoa số 1 tiếp đoàn chuyên gia đánh giá chất lượng phòng xét nghiệm theo tiêu chuẩn ISO 15189:2022
Bệnh viện Đa khoa Bắc Ninh số 1 hưởng ứng Tuần lễ Quốc gia Nước sạch và Vệ sinh môi trường năm 2026 (từ 29/4/2026 đến 06/5/2026)
HỘI NGHỊ TOÀN QUỐC NGHIÊN CỨU, HỌC TẬP, QUÁN TRIỆT VÀ TRIỂN KHAI THỰC HIỆN NGHỊ QUYẾT HỘI NGHỊ LẦN THỨ HAI BAN CHẤP HÀNH TRUNG ƯƠNG ĐẢNG KHÓA XIV ĐÃ ĐƯỢC TỔ CHỨC THÀNH CÔNG
Bản công bố Cơ sở khám bệnh, chữa bệnh đáp ứng yêu cầu là cơ sở thực hành trong đào tạo khối ngành sức khoẻ
Hướng dẫn xây dựng nhu cầu mua sắm thuốc thuộc danh mục đấu thầu tập trung cấp địa phương giai đoạn 2026-2028