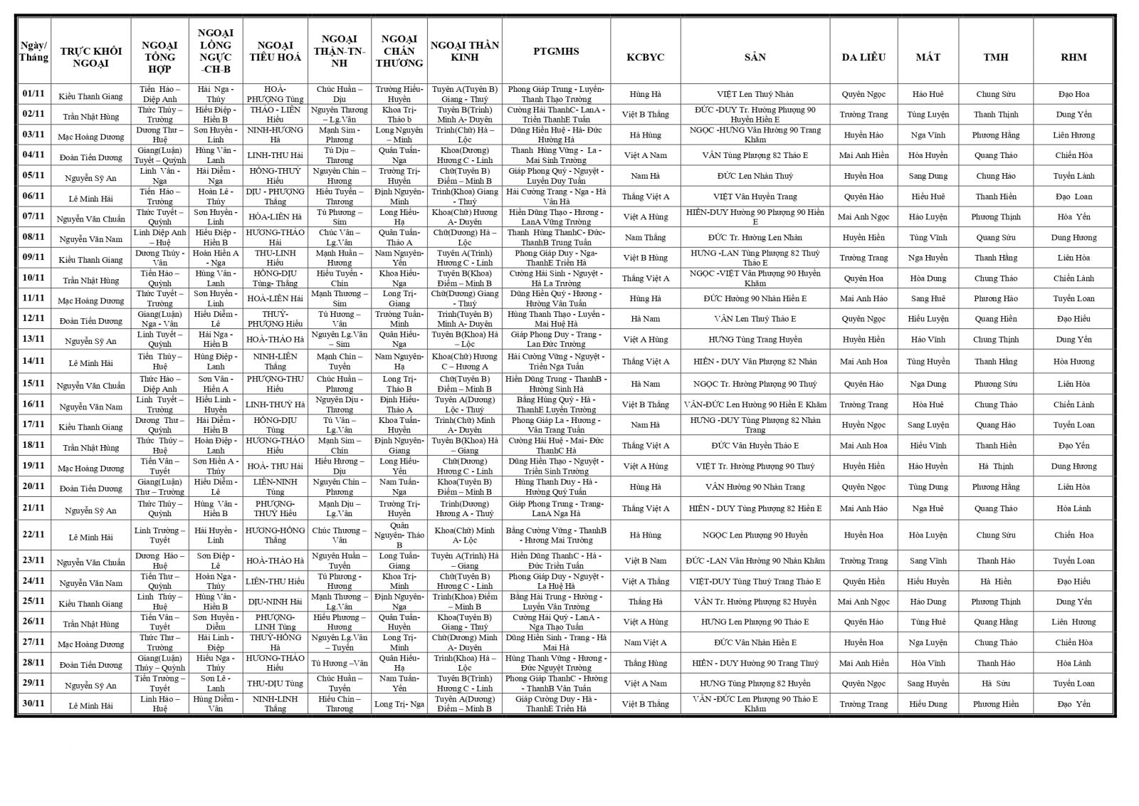
Thứ 6, 25/10/2024 | 07:14 A- A A+ | LỊCH TRỰC TOÀN VIỆN THÁNG 11/2024 Đọc bài Lưu Tổng số điểm của bài viết là: 0 trong 0 đánh giá Click để đánh giá bài viết
BỆNH VIỆN ĐA KHOA BẮC NINH SỐ 1 HƯỞNG ỨNG NGÀY TOÀN DÂN PHÒNG CHÁY, CHỮA CHÁY VÀ CỨU NẠN, CỨU HỘ NĂM 2025
Bệnh viện Đa khoa Bắc Ninh số 1 chúc mừng kỷ niệm 95 năm Ngày thành lập Hội Liên hiệp Phụ nữ Việt Nam (20/10/1930 - 20/10/2025) và 15 năm ngày Phụ nữ Việt Nam (20/10/2010 - 20/10/2025)
Hướng dẫn xây dựng nhu cầu mua sắm thuốc thuộc danh mục đấu thầu tập trung cấp địa phương giai đoạn 2026-2028
QUYẾT ĐỊNH Về việc công bố công khai dự toán ngân sách năm 2025 của Bệnh viện Đa khoa Bắc Ninh số 1 sau sắp xếp
Kế hoạch Tổ chức thực hành cho đối tượng hành nghề Y học cổ truyền để cấp Giấy phép hành nghề khám bệnh, chữa bệnh
Kế hoạch Tổ chức thực hành đối với Điều dưỡng, Kỹ thuật y, Hộ sinh, Dinh dưỡng lâm sàng để cấp giấy phép hành nghề khám bệnh, chữa bệnh